移除列级控制推理约束。
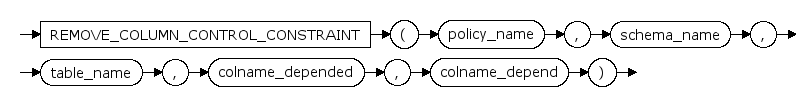
remove_column_control_constraint ::=
remove_column_control_constraint ::= REMOVE_COLUMN_CONTROL_CONSTRAINT ( policy_name , schema_name , table_name , colname_depended , colname_depend )
policy_name
策略名称
schema_name
模式名
table_name
表名
colname_depended
被依赖列
colname_depend
依赖列
无