应用列级控制推理约束。
apply_column_control_constraint ::=
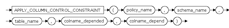
apply_column_control_constraint::= APPLY_COLUMN_CONTROL_CONSTRAINT ( policy_name , schema_name , table_name , colname_depended , colname_depend )
policy_name
策略名称
schema_name
模式名
table_name
表名
colname_depended
被依赖列
colname_depend
依赖列
无