SET

说明

改变运行时参数

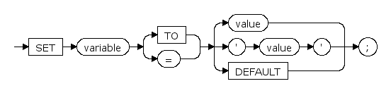
语法

set ::=

参数

variable

必须是运行时可以设置的运行时配置参数。

value

参数值。

DEFAULT

参数默认值。

配置参数的默认值有两个来源,分别是dbname.conf(dbname为数据库名)配置文件和系统默认值。其中,dbname.conf的优先级高于系统默认值。也就是说,在dbname.conf中设置某一个参数,就会改变该参数的默认值。

注解

SET 允许用户设置运行时参数。

示例

示例1: 设置运行时参数(以 AUTOCOMMIT 参数为例)

--  清理环境
DROP TABLE tab1 CASCADE;


--  创建表
CREATE TABLE tab1 (a INT);

--  设置自动提交参数 —— 自动提交
SET AUTOCOMMIT = TRUE;

--  插入数据
INSERT INTO tab1 VALUES(100);
INSERT INTO tab1 VALUES(200);


SELECT * FROM tab1 ORDER BY a;
A(int)      |
------------
100         |
------------
200         |
总数目:2


--  设置自动提交参数 —— 非自动提交
SET AUTOCOMMIT TO FALSE;

INSERT INTO tab1 VALUES(200);


SELECT * FROM tab1 ORDER BY a;
A(int)      |
------------
100         |
------------
200         |
------------
200         |
总数目:3

--  回滚事务
ROLLBACK;


--  非自动提交的数据已不存在
SELECT * FROM tab1 ORDER BY a;
A(int)      |
------------
100         |
------------
200         |
总数目:2


--  提交一次事务
COMMIT;

--  重置自动提交参数
SET AUTOCOMMIT = DEFAULT;

--  插入数据
INSERT INTO tab1 VALUES(400);


SELECT * FROM tab1 ORDER BY a;
A(int)      |
------------
100         |
------------
200         |
------------
400         |
总数目:3

--  回滚事务
ROLLBACK;


--  数据已插入
SELECT * FROM tab1 ORDER BY a;
A(int)      |
------------
100         |
------------
200         |
------------
400         |
总数目:3


--  删除表
DROP TABLE tab1;