神通数据库系统管理命令

本节遵循以下约定:

[ ]表示可选项,{ }表示必选项(默认)。

A | B表示A和B只选其一。

{A | B | C}…表示A、B和C可以多次出现,如无特别说明,每一选项最多只能出现一次。

{A}+表示A,A,…,以逗号分隔,至少一个。

[A]+表示A 可以出现多个,可以不出现,无需逗号分隔

STARTUP

描述

启动神通数据库

语法

startupstmt ::=

说明

STARTUP

RESTRICT

只允许系统用户登陆,或表示单用户模式。

PFILE = filename

指定参数文件所在的路径,如果不指定,则由当前环境变量给出。

MOUNT dbname

装载指定的数据库,如果不指定dbname,寻找默认有效的数据库。

OPEN

装载并打开指定的数据库。

READ ONLY

数据库只读。

READ WRITE

数据库可读写。

NOMOUNT

只启动实例,不装载数据库

注解

STARTUP等于STARTUP OPEN

STARTUP OPEN等于STARTUP OPEN READ WRITE

SHUTDOWN

描述

关闭神通数据库

语法

shutdown ::=

说明

ABORT

异常退出。

IMMEDIATE

立即回滚所有未结束的事务并正常退出。

NORMAL

禁止开始新的连接,等待所有连接结束并正常退出。

TRANSACTIONAL

禁止开始新的事务,等待所有事务结束并正常退出。

注解

SHUTDOWN等于SHUTDOWN NORMAL

CREATE DATABASE

描述

创建数据库

语法

create_database ::=

log_file_spec ::=

data_file_spec ::=

autoextend_clause ::=

size_clause ::=

说明

database

要创建的数据库名称,如果不指定,则为默认数据库。

CONTROLFILE 'filename'

filename指定新的控制文件,各控制文件路径由配置参数CONTROLFILE给出。

LOGFILE子句

创建一个日志组,同一CREATE DATABASE可以包含多条LOGFILE子句(至少两条),每条子句分别创建一个不同的日志组;filename给出各日志成员的路径,SIZE子句表示日志组的长度,如果不指定日志组,则神通数据库自动创建两个大小为的日志组,每个日志组包含一个日志成员,创建路径由环境变量给出。

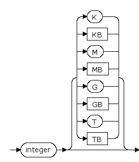
size_clause

表示长度,其中K和KB表示千字节,M和MB表示兆字节,G和GB表示吉字节,T和TB表示太字节,大小写无关,如果不指定,则表示以M为单位。

ARCHIVELOG filename

归档模式,filename为归档路径。

NOARCHIVELOG

不归档模式。

DATAFILE子句

创建一个或多个数据文件,其各参数的含义同log_file_spec子句,AUTOEXTEND子句用于设置数据文件的自动增长属性,如果设置自动增长但不指定NEXT,其值为;如果不指定数据文件,则神通数据库自动创建一个大小为的数据文件,创建路径由环境变量给出。

注解

CREATE DATABASE等于CREATE DATABASE NOARCHIVELOG

DATAFILE等于DATAFILE AUTOEXTEND OFF

AUTOEXTEND ON 等于AUTOEXTEND ON MAXSIZE UNLIMITED

ALTER DATABASE

描述

更改数据库

语法

alter_database ::=

startup_clause ::=

data_file_clause ::=

log_file_clause ::=

recovery_clause ::=

说明

database

要更改的数据库名称,如果不指定,则由配置参数DB_NAME给出。

startup_clause

设置数据库状态,各参数含义可参见STARTUP语句。

recovery_clause

恢复数据库,如果指定UNTIL子句,则表示恢复到指定的时间点,否则表示恢复到故障点。

data_file_clause

修改一个或多个数据文件的设置,

DATAFILE子句

用于更改一个已有的数据文件的长度(RESIZE子句)或自动增长属性(autoextend_clause子句)

log_file_clause

创建或删除一个日志组或日志成员,其中ADD LOGFILE子句表示创建一个日志组,DROP LOGFILE表示删除一个多多个日志组、ADD LOGFILE MEMBER表示在指定的一个日志组中增加一个或多个日志成员、DROP LOGFILE MEMBER表示删除多个日志成员。

ARCHIVELOG filename

归档模式,filename为归档路径。

NOARCHIVELOG

不归档模式。

RENAME GLOBAL_NAME子句

改变数据库名称。

RENAME FILE子句

改变一数据文件、日志成员或归档文件的路径。

注解

DATAFILE等于DATAFILE AUTOEXTEND OFF

AUTOEXTEND ON 等于AUTOEXTEND ON MAXSIZE UNLIMITED

SET DEFAULT DATABASE

描述

设置启动默认数据库

语法

set_database ::=

说明

dbname

要设置为默认启动的数据库